Its Time to Evaluate!
07 Feb 2021Hi there!
Lets discuss various ways to Evaluate an ML Model.
Basic Terminology:
- True Positive(TP): Predictive Positive is actually Positive.
- False Positive(FP): Predictive Positive is actually Negetive
- True Negetive(TN): Predective Negetive is actually Negetive
- False Negetive(FN): Predictive Negetive is actually Negetive
Confusion Matrix:

Accuracy:
Accuracy = (TP + TN)/(TP + TN + FP + FN)
Precision:
How much the model is Right when it says it is Right!
Precision = (TP)/(TP + TN)
Total Positive Rate/Recall/Senstivity:
% of Positive Instances out of Total Positive Instances
TPR = (TP)/(TP + FN)
Specificity:
% of Negetive Instances out of Total Negetive Instances
Specificity = (TN)/(TN + FP)
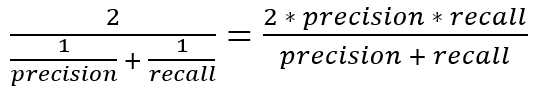
F1 Score:
It is the Harmonic Mean of Precision and Recall. The higher the F1 Score, the better it is.

PR Curve:
It is the curve between precision and recall for various threshold values.
Lets catch-up in the next post.
Till then O/